Geplante und tatsächliche Erwerbsunterbrechungen von Müttern

Sonstige DIW-Publikationen 64, 8 S.

Sascha Drahs, Ulrich Schneider, Philipp Schrauth

2015. Korrigierte Fassung, Juli 2015.

get_appDownload (PDF  346 KB)

12. Mai 2015

Sascha Drahs (sdrahs@diw.de), Ulrich Schneider  (uschneider@diw.de), Philipp Schrauth (pschrauth@diw.de)

Die Erwerbsbeteiligung von Frauen in Deutschland befindet sich seit mehreren Jahrzehnten in einer stetigen Aufwärtsbewegung. Trotzdem gibt es immer noch große Unterschiede zwischen den Erwerbsverläufen von Frauen und Männern. Mit der Geburt eines Kindes beginnt für viele Frauen eine längere Erwerbsunterbrechung, oftmals gefolgt von einem Übergang in eine Teilzeitbeschäftigung. Dieser Beitrag stellt einige Zahlen und Fakten bezüglich der Erwerbsunterbrechung von Müttern zusammen. Auf der Basis der Daten des Sozio-oekonomischen Panels (SOEP) kommen wir zu dem Schluss, dass Mütter zu Beginn der Auszeit deren Dauer häufig unterschätzen. Auch die zukünftigen Arbeitszeiten entwickeln sich oft anders als ursprünglich geplant.

Frauenerwerbsquote vor der Geburt des ersten Kindes

Für die folgenden Analysen nutzen wir das Sozio-oekonomische Panel  und betrachten eine repräsentative Stichprobe von 1.066 Frauen, die zwischen den Jahren 2000 und 2011 mindestens ein Kind geboren haben. Diese Zeitperiode hat den Vorteil, dass die beobachteten Geburtskohorten vergleichsweise kurz zurückliegen und unsere Ergebnisse insofern auf die Situation heutiger Mütter relativ gut übertragbar sind. Des Weiteren schließen wir Frauen, die im Beobachtungszeitraum selbstständig waren, von der Betrachtung aus, da sich die institutionellen Rahmenbedingungen für diese Gruppe  stark von denen der nichtselbstständig Beschäftigen unterscheiden. Außerdem fand mit der Elterngeldreform im Jahr 2007 eine bedeutende Veränderung der Erwerbsanreize für junge Familien statt, weshalb einige der folgenden Statistiken gesondert für den Zeitraum vor und nach der Reform aufgeführt werden. Für eine Beschreibung des sozio-oekonomischen Panels siehe Wagner et al. (2008).

Tabelle 1: Erwerbsquoten von Frauen 6 Monate vor der Geburt des ersten Kindes

 

Gesamt

West

Ost

Insgesamt

81,4%

83,5%

74,3%

Vollzeit

74,4%

78,2%

62,8%

Teilzeit

6,7%

5,3%

11,5%

Beobachtungen

388

276

112

Anmerkungen: Die Beobachtungen wurden entsprechend ihrer Häufigkeit in der Gesamtbevölkerung gewichtet. Quelle: SOEP, Jahre 2000 - 2011, eigene Berechnungen.

Bevor die Erwerbsbiografien von Müttern nach der Geburt von Kindern analysiert werden, lohnt sich ein Blick auf die Beschäftigungsquoten der Mütter vor der Geburt des ersten Kindes. Tabelle 1 stellt diese Quoten, d.h. den Anteil der in Voll- oder Teilzeit arbeitenden Frauen ein halbes Jahr vor der Geburt des ersten Kindes dar, aufgeteilt nach alten und neuen Bundesländern. Dieser Zeitpunkt wurde gewählt, da viele Mütter ihr Arbeitsangebot schwangerschaftsbedingt häufig bereits mehrere Monate vor der Geburt reduzieren. Insgesamt beträgt die Erwerbsquote der Mütter in unserer Stichprobe sechs Monate vor der Geburt des ersten Kindes etwa 80%, wobei mit 75% die meisten Frauen in Vollzeit arbeiten. Die Erwerbsquote ist in Ostdeutschland etwas geringer und die Teilzeitquote etwas höher. Diese Statistiken sind ausdrücklich nicht mit allgemeinen Beschäftigungsquoten kinderloser Frauen zu vergleichen, da werdende Mütter die Geburt bereits lange vorher in ihrem Erwerbsverhalten antizipieren können, zum Beispiel durch die Wahl einer familienfreundlichen (Teilzeit-) Stelle. Hinweise auf eine solche Selbstselektion von zukünftigen Müttern finden zum Beispiel Adda et al. (2011). Darüber hinaus können grundlegende Unterschiede zwischen zukünftigen Müttern und zukünftig kinderlosen Frauen hinsichtlich des Erwerbsverhaltens bestehen.

Erwerbsquote nach der Geburt des letzten Kindes

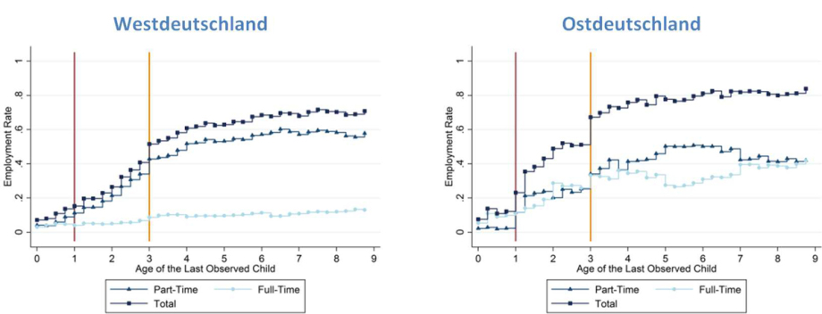
Abbildung 1 zeigt die Erwerbsquoten von Müttern für den Zeitraum vor der Elterngeldreform, also für die Jahre 2000 bis 2006, gestaffelt nach dem Alter des zuletzt im Datensatz beobachteten Kindes. Im ersten Quartal nach der Geburt liegt die Erwerbsquote durch den verpflichtenden Mutterschutz etwa bei null. Danach steigt die Erwerbsquote der Mütter sukzessive mit dem Alter des Kindes. Nach einem Jahr sind etwa 20% aller Mütter erwerbstätig, nach zwei Jahren etwa 30%. Nach ca. sieben Jahren stabilisiert sich  die Erwerbsquote bundesweit bei rund 70%.

Abbildung 1: Erwerbsquoten von Müttern nach dem Alter des letztgeborenen Kindes (2000-06)

Anmerkungen: Die Beobachtungen wurden entsprechend ihrer Häufigkeit in der Gesamtbevölkerung gewichtet. Quelle: SOEP, , Jahre 2000 – 2006. eigene Berechnungen.

Es zeigen sich allerdings auch für den Zeitraum 2000 bis 2006 bedeutende Unterschiede bei der Rückkehr in die Erwerbstätigkeit zwischen den neuen und alten Bundesländern. Während sich die Erwerbsquoten im ersten Lebensjahr des Kindes in beiden Teilen Deutschlands weitgehend gleichen, weisen ostdeutsche Mütter später eine durchgehend höhere Erwerbsbeteiligung auf als westdeutsche Mütter, wobei der langfristige Abstand bei etwa 10 bis 15 Prozentpunkten liegt. Noch deutlichere Unterschiede treten hervor, wenn man zusätzlich die Arbeitszeit in Betracht zieht. So liegt der Anteil der Mütter, die nach sieben Jahren Vollzeit erwerbstätig sind im Westen bei etwa 13%, im Osten hingegen bei 45%. Im Vergleich zum Zeitpunkt sechs Monate vor der Geburt des ersten Kindes arbeiten Mütter in beiden Teilen Deutschlands also langfristig weniger Vollzeit und mehr Teilzeit. Außerdem deuten die Zahlen daraufhin, dass in Westdeutschland eine Reduktion der Erwerbsquote bis viele Jahre nach Geburt des letzten Kindes stattfindet. In Ostdeutschland ist dieser Trend nicht erkennbar.

Neben dem insgesamt positiven Zusammenhang zwischen Kindesalter und Erwerbsquote zeigt die Abbildung deutlich, dass zu bestimmten Zeitpunkten besonders viele Frauen ins Berufsleben zurückkehren, nämlich nach einem und nach drei Jahren. Hier liegt die Vermutung nahe, dass bestimmte institutionelle Gegebenheiten das Erwerbsverhalten von Müttern beeinflussen: Die maximale Dauer der Elternzeit beträgt drei Jahre, innerhalb derer zuvor erwerbstätige Frauen in ihren bisherigen Job zurückkehren konnten, sofern das Arbeitsverhältnis nicht kürzer befristet war. Erweiterungen dieser Frist durch frühere Reformen hatten laut einer Studie von Schönberg und Ludsteck (2014) zu Verringerungen des kurzfristigen Arbeitsangebotes von Müttern geführt. Für einen Überblick zur Familienpolitik in Deutschland siehe Rainer et al. (2014). In Bezug auf die hohe Rückkehrrate nach einem Jahr kommen vor allem soziale Normen bzw. die bei Vereinbarungen zwischen Arbeitnehmer und Arbeitgeber „übliche“ Dauer der Auszeit in Betracht.

Abbildung 2: Erwerbsquoten von Müttern nach dem Alter des letztgeborenen Kindes (2007-11)

Anmerkungen: Die Beobachtungen wurden entsprechend ihrer Häufigkeit in der Gesamtbevölkerung gewichtet. Quelle: SOEP, Jahre 2007 - 2011, eigene Berechnungen.

Mit der Elterngeldreform im Jahr 2007 veränderten sich die finanziellen Anreize für Mütter in den ersten beiden Jahren nach der Geburt erheblich. So wurde die Auszahlungsdauer des bisherigen Erziehungsgeldes von zwei Jahren auf eines reduziert. Außerdem wird das Elterngeld nicht mehr nur an Geringverdiener, sondern proportional zum Nettoverdienst vor der Geburt auch an besser verdienende Eltern gezahlt. Es ist also nicht überraschend, dass für die Beobachtungen nach 2007 die Erwerbsquote in beiden Teilen Deutschlands bei einem Kindesalter von einem Jahr sprunghaft um etwa 20 Prozentpunkte ansteigt; Abbildung 2 zeigt diesen Sachverhalt. Die Wirksamkeit der Elterngeldreform wird unter anderem von Kluve und Tamm (2013) und Geyer et al. (2014) bestätigt. Aufgrund des kurzen Beobachtungszeitraums nach 2007 sind mit unserer Stichprobe leider keine Aussagen über die Entwicklung der langfristigen Erwerbsquoten möglich. Hinsichtlich Voll- und Teilzeitbeschäftigung bestehen die oben beschriebenen Ost-West-Unterscheide auch nach der Elterngeldreform.

Die Dauer der Erwerbsunterbrechung im Detail

Die im vorigen Abschnitten besprochenen Erwerbsquoten spiegeln nicht eins-zu-eins Übergänge von Erziehungspausen in Beschäftigung wider, denn zu den erwerbslosen Frauen zählen auch solche, die bereits wieder ins Erwerbsleben eingetreten waren und inzwischen erneut aus verschiedenen Gründen nicht erwerbstätig sind. Abbildung 3 zeigt die Verteilung der tatsächlichen Dauer der Erwerbsunterbrechung. Dabei werden nur jene Mütter betrachtet, welche nach einer Geburt eine Erwerbstätigkeit aufnehmen.

Abbildung 3: Verteilung der Dauer der Erwerbsunterbrechung

Anmerkungen: Als Beobachtung zählt eine Erwerbsunterbrechung, welche mit einer Geburt beginnt und durch erneute Erwerbstätigkeit beendet wird. Die Beobachtungen wurden entsprechend ihrer Häufigkeit in der Gesamtbevölkerung gewichtet. Quelle: SOEP, Jahre 2000 - 2011, eigene Berechnungen.

Anhand der Verteilung der Dauer der Erwerbsunterbrechung sind die Zeitpunkte der bevorzugten Rückkehr ins Erwerbsleben gut zu erkennen. Innerhalb des 4. und 5. Quartals nach Geburt eines Kindes kehrt im Osten mit einem Anteil von etwa 35% ein Großteil der Mütter in das Erwerbsleben zurück, im Westen fällt dieser Anteil mit knapp 20% der Mütter wesentlich kleiner aus. Auffällig ist weiterhin, dass mit etwa 15% ein Großteil der Frauen im Westen genau drei Jahre Auszeit in Anspruch nimmt, während diese Dauer im Osten nicht sehr üblich zu sein scheint. Hingegen zeigt die Statistik für Ostdeutschland einen deutlichen Sprung bei zwei Jahren. Hierbei könnte es sich schlicht um eine soziale Norm handeln, welche bei Vereinbarungen zwischen Arbeitnehmer und Arbeitgeber eine Rolle spielt. Bis zum Jahr 2006 betrug zudem die maximale Bezugsdauer des bis dahin geltenden Erziehungsgeldes zwei Jahre. Da das Erziehungsgeld ausschließlich an Mütter mit geringem Einkommen gezahlt wurde, könnte auch dies zur Häufigkeit dieser Dauer gerade im Osten Deutschlands beigetragen haben.

Geplante und tatsächliche Erwerbsunterbrechungen

Die Analyse der Beschäftigungsquoten ergibt also, dass die Erwerbsbiografien von Müttern nach der Geburt durch eine auch langfristig geringere Erwerbsbeteiligung und insbesondere im Westen Deutschlands durch einen hohen Anteil an Teilzeit gekennzeichnet sind. Um die Frage zu beantworten, inwieweit Frauen die eigene berufliche Zukunft zum Zeitpunkt der Geburt ihres Kindes vorhersehen können, werten wir Selbstauskünfte von Müttern über den geplanten Zeitpunkt des Wiedereinstiegs in das Erwerbsleben aus, welche im Rahmen des Sozio-oekonomischen Panels erhoben wurden. Dies geschieht immer zum jeweils nächsten Befragungszeitpunkt nach der Geburt des Kindes.


Tabelle 2: Dauer der Erwerbsunterbrechung (geplant/eingetreten)

 

1. Geburt 2. Geburt 3. Geburt

Zeitintervall

Geplant

Eingetreten

Geplant

Eingetreten

Geplant

Eingetreten

Innerhalb eines Jahres

50,2%

24,3%

35,5%

19,6%

18,0%

10,5%

Zwischen 2. und 5. Jahr

46,5%

68,1%

57,0%

72,5%

59,0%

69,4%

Mehr als 5 Jahre

3,3%

7,5%

7,6%

8,0%

23,0%

20,1%

Beobachtungen

442

312

77

Anmerkungen: Der Wortlaut der Frage war: „Wann etwa wollen Sie Ihre Erwerbstätigkeit aufnehmen?“ Die Beobachtungen wurden entsprechend ihrer Häufigkeit in der Gesamtbevölkerung gewichtet. Quelle: SOEP, eigene Berechnungen.

Tabelle 2 vergleicht die Zeitpunkte der geplanten Rückkehr ins Erwerbsleben mit den im Nachhinein beobachteten tatsächlichen Realisationen. Es zeigen sich zum Teil recht deutliche Unterschiede zwischen geplanten und realisierten Erwerbsunterbrechungen. Nach Geburt des ersten Kindes, planen über 50% aller Mütter innerhalb des ersten Jahres nach dem Interviewzeitpunkt erwerbstätig zu sein, tatsächlich schafft dies jedoch nur knapp ein Viertel aller Mütter. Dies hat zur Folge, dass über zwei Drittel der Mütter erst in der mittleren Frist in den Arbeitsmarkt zurückkehren auch wenn dies vorher nur knapp die Hälfte geplant hat. Auch in der langen Frist ergeben sich Unterschiede. Obwohl nur 3,3% der befragten Mütter planen länger als fünf Jahre keiner Erwerbstätigkeit nachzugehen, bleiben mit 7,5% tatsächlich mehr als doppelt so viele dem Arbeitsmarkt langfristig fern.

Bei der zweiten und dritten Geburt nähern sich die geplanten und in der Realität beobachteten Erwerbsunterbrechungen an. Jedoch scheint auch beim dritten Kind ein Großteil der Mütter nicht wie gewünscht innerhalb des ersten Jahres an den Arbeitsmarkt zurückzukehren, sondern erst mittelfristig. Die beobachtete Annährung der Erwartungen an die Realität bei weiteren Kindern könnte durch zunehmende Erfahrung von Müttern erklärt werden; möglich ist aber auch, dass Mütter mit mehr als einem Kind schon von vornherein eine genauere Vorstellung von der Balance zwischen Familien- und Erwerbsleben haben.

Grundsätzlich gibt uns die gefundene Diskrepanz zwischen Wunsch und Wirklichkeit hinsichtlich der Dauer der Erwerbsunterbrechung keinen Aufschluss über die Gründe. Es ist jedoch wichtig darauf hinzuweisen, dass eine längere Erwerbsunterbrechung sowohl durch eine sich im Laufe der Auszeit verändernde gewünschte Dauer der Erwerbsunterbrechung als auch durch unfreiwillige Erwerbshemmnisse zustande kommen kann. Letztere umfassen beispielsweise eine (unerwartet) ungünstige Arbeitsmarktsituation für junge Mütter oder eine nicht ausreichende Versorgung mit Kinderbetreuungsplätzen. Außerdem bildet die Tabelle im Gegensatz zur vorhergehenden Analyse auch Mütter ab, welche während der Erwerbsunterbrechung ein (ungeplantes) weiteres Kind bekommen.

Geplante und tatsächliche Arbeitsstunden

Hinsichtlich des geplanten zukünftigen Erwerbsumfanges zeichnet sich ein ähnliches Bild. Werden Mütter kurz nach der Geburt des ersten Kindes gefragt, ob sie planen in Vollzeit oder Teilzeit zu arbeiten, geben etwa ein Drittel an, in Vollzeit arbeiten zu wollen (siehe Tabelle 3). Tatsächlich tun dies aber nur knapp 20%. Bei der zweiten Geburt schätzen die Mütter den zukünftigen Erwerbsumfang wiederum wesentlich besser, analog zur geplanten Dauer der Erwerbsunterbrechung.

Auf Unterschiede zwischen gewünschten und tatsächlich geleisteten Arbeitsstunden von Müttern weisen auch Holst und Wieber (2014) in einer Studie mit Daten des Sozio-oekonomischen Panels hin. Ihre Analyse ergibt, dass westdeutsche Mütter mit durchschnittlich 24 bis 26 Wochenstunden seit der Jahrtausendwende ungefähr im gewünschten Umfang arbeiten. Ostdeutsche Mütter hingegen arbeiten mit 32 bis 35 Wochenstunden im Durchschnitt etwa zwei Stunden mehr als gewünscht. Dies könnte darauf hindeuten, dass der unerwartet hohe Anteil der Teilzeit arbeitenden Mütter in Tabelle 3 sich auch zu einem gewissen Grad als freiwillige Entscheidung darstellt. Weitergehende Untersuchungen der Hintergründe der beobachteten Lücke zwischen geplanten und tatsächlichen Arbeitsstunden erscheinen uns für ein fundiertes Verständnis des Erwerbsverhaltens von Müttern unabdingbar.


Tabelle 3: Vollzeit- und Teilzeiterwerbstätigkeit (geplant/eingetreten)

 

1. Geburt 2. Geburt

 

Geplant

Eingetreten

Geplant

Eingetreten

Vollzeit

33,2%

19,9%

8,7%

5,2%

Teilzeit

66,8%

80,1%

91,3%

94,8%

Beobachtungen

63

59

Anmerkungen: Die Frage wurde nur Müttern gestellt, die in einer vorherigen Frage angegeben hatten, dass sie beabsichtigen in Zukunft wieder eine Erwerbstätigkeit aufzunehmen. Der Wortlaut der Frage war: „Wären Sie an einer Vollzeit- oder Teilzeitbeschäftigung interessiert, oder wäre Ihnen beides recht?“ Mütter, die mit „Beides recht“ antworteten, wurden nicht in die Tabelle aufgenommen. Die Beobachtungen wurden entsprechend ihrer Häufigkeit in der Gesamtbevölkerung gewichtet. Quelle: SOEP, Jahre 2000 - 2011, eigene Berechnungen.


Zusammenfassend lässt sich also sagen, dass Frauen nach der Geburt eines oder mehrerer Kinder nach wie vor bedeutend weniger insgesamt und bedeutend weniger Vollzeit arbeiten. Dies trifft verstärkt auf den Westen der Bundesrepublik zu. Gleichzeitig ist diese Entwicklung der eigenen Erwerbsbiografie oft unvorhergesehen bzw. realisiert sich oft nicht entsprechend der Planung. Über mögliche Gründe hierfür kann auf Basis der verwendeten Daten kein Aufschluss gegeben werden. Es ist jedoch möglich, dass sowohl Änderungen in den Präferenzen der Frauen als auch hemmende Faktoren des Arbeitsmarktes bzw. der Betreuungssituation eine Rolle spielen.

Quellen

Adda, Jérôme, Christian Dustmann und Katrien Stevens, „The Career Costs of Children” (2011).

Bauernschuster, Stefan und Martin Schlotter, „Public Child Care and Mothers’ Labor Supply - Evidence from Two Quasi-Experiments”, Journal of Public Economics (2015).

Geyer, Johannes, Peter Haan und Katharina Wrohlich, „The Effects of Family Policy on Mothers’ Labor Supply: Combining Evidence from a Structural Model and a Natural Experiment” (2014).

Holst, Elke und Anna Wieber, „Bei der Erwerbstätigkeit der Frauen liegt Ostdeutschland vorn“, DIW Wochenbericht 81.40 (2014):  967-975.

Kluve, Jochen und Marcus Tamm, „Parental leave regulations, mothers’ labor force attachment and fathers’ childcare involvement: evidence from a natural experiment”, Journal of Population Economics 26.3 (2013): 983-1005.

Rainer, Helmut, et al. „Child Benefit and Child Allowances in Germany: Their Impact on Family Policy Goals”, CESifo DICE Report 12.1 (2014): 37-45.

Schönberg, Uta und Johannes Ludsteck, „Expansions in Maternity Leave Coverage and Mothers’ Labor Market Outcomes after Childbirth,” Journal of Labor Economics 32.3 (2014): 469-505.

Sozio-oekonomisches Panel (SOEP), Daten für die Jahre 1984-2011, Version 30, SOEP, 2012, doi:10.5684/soep.v30.

Wagner, Gert G., Jan Göbel, Peter Krause, Rainer Pischner und Ingo Sieber, „Das Sozio-oekonomische Panel (SOEP): Multidisziplinäres Haushaltspanel und Kohortenstudie für Deutschland - Eine Einführung (für neue Datennutzer) mit einem Ausblick (für erfahrene Anwender)“, AStA Wirtschafts- und Sozialstatistisches Archiv 2 .4 (2008): 301-328.

Wrohlich, Katharina, „The Excess Demand for Subsidized Child Care in Germany”, Applied Economics 40.10 (2008): 1217-1228.


Frei zugängliche Version: (econstor)
http://hdl.handle.net/10419/111849

keyboard_arrow_up