Soziale Interaktion und geschlechtsspezifisches Wettbewerbsverhalten

Sonstige DIW-Publikationen 138, 7 S.

Tim Lohse, Salmai Qari

2021

get_appDownload (PDF  0.87 MB)

Einführung

Entscheidende Charakteristika einer modernen Dienstleistungs- und damit auch beruflichen „Ellenbogen“-Gesellschaft sind interpersonelle Kommunikation und Interaktion von Angesicht zu Angesicht– selbst in einer digitalen Welt. Studien im Bereich Personalgewinnung zeigen, dass Bewerberinnen und Bewerber im persönlichen Gespräch häufig besser bewertet werden als in fernmündlichen Gesprächen via Telefon oder VideocallinfoBlacksmith et. al, 2016; Basch et. al, 2021. Darüber hinaus belegt eine Umfrage des Harvard Business Reviewinfo2016 die Wichtigkeit von direkter Interaktion als entscheidendes Merkmal für den Aufbau langfristiger Geschäftsbeziehungen (95% der Befragten), für das Verhandeln von Verträgen (89%) oder das Verstehen wichtiger Klienten (69%). Für den Geschäftserfolg ist es dabei von großer Bedeutung, dem Gegenüber als möglichst glaub- und vertrauenswürdig zu erscheinen, insbesondere im Vergleich zu etwaigen Konkurrenten. Das galt vor der Corona-Pandemie und dürfte voraussichtlich auch nach der Corona-Pandemie gelten.

Abstrakt betrachtet, handelt es sich bei diesem Setting um einen Wettbewerb mit sozialer Interaktion. Das Ergebnis eines solchen Wettbewerbs hängt nicht (nur) von den intellektuellen Fähigkeiten der Beteiligten ab, sondern wird vor allem davon bestimmt, wie ein Individuum im Vergleich zu anderen Individuen von einem Dritten wahrgenommen wird. Obwohl sich diese Frage in diversen Kontexten des beruflichen, aber auch privaten Alltags stellt, hat sie in der (verhaltens-)ökonomischen Forschung bisher praktisch keine Berücksichtigung gefunden. Dies ist umso erstaunlicher, als zu erwarten ist, dass Männer und Frauen in einem solchen sozialen Wettbewerb unterschiedlich agieren, und die Literatur geschlechtsspezifisches Wettbewerbsverhalten ansonsten umfangreich beleuchtet. Wesentliche Erkenntnisse daraus sind: Frauen scheuen im Gegensatz zu Männern in westlichen Gesellschaften ein (zu) kompetitives Arbeitsumfeld. Zum anderen reagieren sie in ihrer Arbeitsweise weit weniger als Männer auf wettbewerbliche Leistungsanreize.infoBertrand, 2011; Niederle und Vesterlund, 2011 Zwei Gründe sind für etwaige Gendereffekte im sozialen Wettbewerb zu nennen. Im Vergleich zu einer relativ unpersönlichen Kommunikation wie z.B. per Email geht mit der Kommunikation von Angesicht zu Angesicht eine Reduktion der sozialen Distanz einher, welche Frauen aufgrund ihrer größeren Sensibilität hinsichtlich verschiedener Kommunikationswege anders beeinflussen kann als Männer.infoConrads und Lotz, 2015 Männer wiederum könnten das wettbewerbliche Umfeld als besonderen Ansporn auffassen und ein übermäßiges Selbstvertrauen an den Tag legen, welches Frauen gemeinhin fremd ist.infoBarber und Odean, 2001

Mit der Studie Lohse und QariinfoLohse und Qari (2021) liefern wir einen ersten Beitrag, in welchem wir soziales Wettbewerbsverhalten mit direkter Interaktion von Angesicht zu Angesicht analysieren.infoDie Autoren danken der Joachim Herz Stiftung für ihre großzügige Förderung dieses Forschungsprojektes. Konkret wird untersucht, inwiefern Geschlechterunterschiede im Bestreben, als ehrlich wahrgenommen zu werden, davon abhängen, ob eine Wettbewerbssituation direkte soziale Interaktion beinhaltet oder nicht. Dabei identifizieren wir zwei Wirkungskanäle, die für etwaige Verhaltensunterschiede ursächlich sein können. Zum einen ist dies die Summe möglicher psychologischer Effekte, die bei unehrlichem Verhalten von Angesicht zu Angesicht weit schwerer wiegen können. Hierzu zählen Aspekte wie Sorgen um das Eigen- und soziale Image, prosozialeres Verhalten aufgrund der geringeren sozialen DistanzinfoCharness et al., 2007;
Charness und Gneezy, 2008
, eine größere Lügenaversion aufgrund höherer psychologischer Kosten,infoAbeler et al. 2014;
Kajackaite und Gneezy, 2017
aber auch eine verstärkte SchuldaversioninfoCharness und Dufwenberg, 2006;
Vanberg, 2008
oder Scham.infoCoricelli et al., 2014 Zum anderen können auch verhaltensstrategische Erwägungen von Bedeutung sein. Für die Frage als wie ehrlich jemand in einem sozialen Wettbewerb wahrgenommen wird, sind Aussehen und Verhalten entscheidend. Individuen, die wissen, dass sie besonders überzeugend wirken, eröffnet sich die strategische Option, diesen Vorteil gezielt zu nutzen und weit stärker von der Wahrheit abzuweichen als sie dies in einem Setting ohne direkte soziale Kommunikation tun würden. Ein im Rahmen der Studie konzipiertes Laborexperiment ermöglicht es , beide Kanäle geschlechterspezifisch zu betrachten (Die Studie ist Teil eines größeren Forschungsprojekts zu Compliance- und Lügenverhalten).infovgl. Konrad et al., 2014;
Konrad et al., 2017;
Lohse und Qari, 2014;
Lohse und Qari, 2016;
Lohse und Qari, 2018;
Dwenger und Lohse, 2019;
Lohse und Qari, 2021)

Experiment

Das Experiment besteht aus drei Treatments, in welchen jeweils wiederholt individuelle, monetär incentivierte Lügenentscheidungen bei gleichzeitigem Risiko einer Entdeckung des Fehlverhaltens getroffen werden müssen.infovgl. für eine detaillierte Beschreibung des Experiments Lohse und Qari, 2021

Im Baseline-Treatment (B) sitzen die Teilnehmer zu Beginn jeder Runde an einem Computer und erfahren via Bildschirm, ob ihnen per Zufall ein hohes Einkommen (1000 Taler; Wahrscheinlichkeit 80%) oder niedriges Einkommen (400 Taler, Wahrscheinlichkeit 20%) zugewiesen wurde. Die Höhe des Einkommens ist eine private Information, und die Aufgabe besteht darin, alsdann am Computer anzugeben, ob man ein niedriges oder hohes Einkommen hat, wobei im letzten Fall ein Abzug von 200 Talern erfolgt. Bei Angabe eines geringen Einkommens erfolgt kein Abzug. Teilnehmer mit hohem Einkommen haben daher die Möglichkeit, durch eine unehrliche Angabe die vollen 1000 Taler zu behalten, sofern sie nicht überprüft werden. Den Teilnehmern ist bekannt, dass eine Falschaussage zufällig mit einer Wahrscheinlichkeit von 50% aufgedeckt wird. In diesem Fall wird zusätzlich zum Abzug von 200 Talern auch noch eine Strafe von 100 bzw. 300 Talern fällig. Bei einer Strafe von 100 Talern würde sich ein risikoneutraler Teilnehmer für eine Falschaussage entscheiden.

Das zweite Treatment führt soziale Interaktion (SI) zwischen den Teilnehmern des Experiments und einer dritten Person ein. Wie im Baseline-Treatment erfahren die Teilnehmer zunächst die Höhe ihres Einkommens. Sukzessive werden dann jeweils zwei Teilnehmer gebeten, in einem von zwei angrenzenden Räumen ihr Einkommen einer dort wartenden Person mitzuteilen. Im Verlaufe der vier Runden des SI-Treatments kommen dabei vier verschiedene Personen zum Einsatz, so dass kein Teilnehmer dieselbe Person zwei Mal trifft. Die direkte soziale Interaktion mit der Person folgte einem kurzen standardisiertem Dialog-Protokoll, wobei die einzige Aufgabe der Person darin besteht, die Angabe eines Teilnehmers in das Computersystem einzugeben. Wie schon im Baseline-Treatment liegt die Entdeckungswahrscheinlichkeit unwahrer Angaben bei 50%. Die Treatmentvariation zwischen SI und B besteht daher einzig in der Kommunikation von Angesicht zu Angesicht und stellt auf die mit dieser direkten sozialen Interaktion einhergehenden psychologischen Effekte ab.

Das dritte Treatment (SIW) ist strukturell identisch zum SI-Treatment, wobei die direkte soziale Interaktion zusätzlich eine Wettbewerbs-Komponente enthält. Die Person, gegenüber der die Teilnehmer ihre Angabe machen, nimmt nun Einfluss darauf, wessen Aussage einer Überprüfung unterzogen wird. Sie beurteilt alle ihr gegenübertretenden Teilnehmer hinsichtlich ihrer wahrgenommenen Ehrlichkeit. Wie in den Treatments B und SI werden sodann 50% der Falschaussagen aufgedeckt (und damit ein möglicher Confounder beseitigt). Die Auswahl erfolgt jedoch nicht zufällig, sondern es werden diejenigen 50% überprüft, welche als besonders unehrlich eingestuft wurden. Die Teilnehmer befinden sich daher in einem sozialen Wettbewerb, als möglichst ehrlich wahrgenommen zu werden. Wer hier besonders gut abschneidet, hat gute Chancen, eine unentdeckte Falschaussage zu tätigen und durch sein Lügenverhalten einen finanziellen Vorteil zu erzielen. Diese Treatmentvariation fokussiert auf den strategischen Effekt und erlaubt es, direkt zu ermitteln, inwiefern Frauen und Männer gleich oder unterschiedlich auf diese Wettbewerbssituation reagieren.

Das Experiment wurde am ‘Munich Experimental Laboratory for Economic and Social Sciences (MELESSA)’ durchgeführt. In jeder der 12 Sessions gab es 20 Teilnehmer/innen. Um diese Anzahl zu gewährleisten, wurden für jede Session bis zu 23 Personen eingeladen. Entsprechend der Regelungen des Experimentallabors wurden die 20 verfügbaren Plätze in jeder Session nach dem Windhundverfahren vergeben; die maximal drei Personen, die bei einer Session zuletzt eintrafen, erhielten nur eine Show-up-Fee von EUR 4.

Resultate

Im Folgenden werden die Entscheidungen der teilnehmenden Frauen und Männer mit Hilfe eines logistischen Modells (random effects logit model) untersucht. Die formale Schätzgleichung ist P(Yit=1|uii)=Λi β+ui ), wobei die abhängige Variable Yit den Wert 1 annimmt, falls die Person i in Runde t ihr hohes Einkommen wahrheitsgemäß angibt; Λ(⋅) bezeichnet die kumulative Verteilungsfunktion der logistischen Verteilung. Die erklärenden Variablen (Ξi) sind die Treatment-Dummies, Indikatorvariablen für das jeweilige Geschlecht und die zugehörigen Interaktionsterme. Da die Person i mehrere Runden spielt, ergeben sich pro Person mehrere Beobachtungen. Diese statistische Abhängigkeit wird mit Hilfe der zufälligen Effekte ui modelliert.

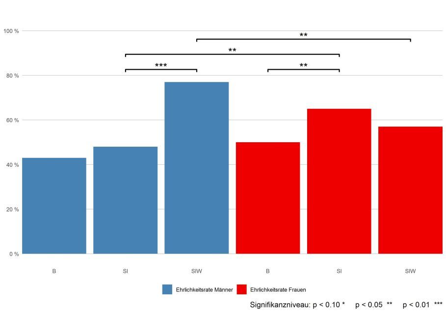
Abbildung 1 visualisiert die Ergebnisse der Regressionsanalyse.  Die Abbildung zeigt jeweils für männliche und weibliche Teilnehmer, wie häufig sich diese in den drei Treatments entschieden haben, ihre private Information ehrlich offenzulegen. Im Baseline-Treatment (B) sind nur wenige Unterschiede zwischen weiblichem und männlichen Deklarationsverhalten erkennbar. Die geschätzte Ehrlichkeitsrate beträgt bei männlichen Teilnehmern 42,9%, während sie bei weiblichen Teilnehmern 50,1% beträgt. Beim Übergang zum Treatment mit sozialer Interaktion ohne verhaltensstrategische Aspekte (SI) ergeben sich erkennbare Unterschiede: der Anteil der ehrlichen Angaben ist bei männlichen Teilnehmern rund 5,5 Prozentpunkte höher, während sie bei weiblichen Teilnehmern um etwa 14,6 Prozentpunkte steigt.

Abb. 1: geschlechtsspezifische Ehrlichkeitsraten

© Tim Lohse, Salmai Qari

Die Differenz von 14,6 Prozentpunkten ist auf einem 5%-Niveau statistisch signifikant, während die Differenz von 5,5 Prozentpunkten bei männlichen Teilnehmern für gängige Niveaus insignifikant ist (p-Wert 0,502). Darüber hinaus ist der Unterschied zwischen dem Ehrlichkeitsverhalten der Frauen und der Männer (64,7% vs. 48,4%) statistisch signifikant.

Im nächsten Schritt wird das Verhalten in den beiden Treatments mit sozialer Interaktion analysiert. Die Möglichkeit, im Rahmen von sozialer Interaktion verhaltensstrategische Aspekte zu nutzen (SIW), führt zu deutlichen Unterschieden hinsichtlich des Verhalten von Frauen und Männern: Im Treatment SIW beträgt die geschätzte Ehrlichkeitsrate bei Männern 76,9% und ist somit im Vergleich zu SI rund 28,5 Prozentpunkte höher, während Frauen im SIW-Treatment im Vergleich zu SI ein etwas weniger ehrliches Deklarationsverhalten aufweisen. Die Differenz von 28.5 Prozentpunkten bei Männern ist außerdem statistisch signifikant (p-Wert 0,035), während das Deklarationsverhalten von Frauen in den Treatments SI und SIW statistisch nicht unterscheidbar ist (p-Wert 0,585).

Zusammengefasst ist der Anteil der ehrlichen Angaben bei Männern in Treatments B und SI recht ähnlich und in SIW deutlich höher, während bei Frauen der entsprechende Anteil in Treatments SI und SIW vergleichbar ist, aber in beiden Fällen höher liegt als in B. Dies impliziert, dass bei männlichen Teilnehmern die rein psychologischen Aspekte der sozialen Interaktion (B vs. SI) nur geringe Verhaltensänderungen induzieren, während bei Vorliegen eines sozialen Wettbewerbs (SIW) der Anteil der ehrlichen Angaben bei Männern stark steigt. In diesem Sinne schrecken die männlichen Teilnehmer vor dem sozialen Wettbewerb, von Dritten als ehrlich eingestuft zu werden, zurück.

Bei den weiblichen Teilnehmern hingegen ist das Deklarationsverhalten in Treatment SI signifikant höher als im Baseline-Treatment. Weiterhin ist bei Frauen in beiden Treatments mit Kommunikation von Angesicht zu Angesicht (SI und SIW) das Deklarationsverhalten kaum unterscheidbar. Insofern ergeben sich für Frauen folgende Ergebnisse: Erstens reagieren Frauen auf die psychologische Komponente der Kommunikation von Angesicht zu Angesicht (SIW/SI vs. B) mit einer leicht erhöhten Neigung zu ehrlichen Angaben. Zweitens schrecken Frauen im Gegensatz zu Männern nicht vor dem sozialen Wettbewerb in Treatment SIW zurück. Frauen gehen offenbar häufiger als Männer davon aus, dass sie überzeugend eine falsche Aussage vornehmen können und nutzen daher das strategische Element des sozialen Wettbewerbs weit umfangreicher als Männer. Die Unterschiede in der Nutzung des strategischen Elements lassen sich auch an einem Vergleich des Deklarationsverhaltens innerhalb von Treatment SIW ablesen: der Anteil der ehrlichen Angaben beträgt bei Männern 76,9% und bei Frauen 57%. Diese Differenz ist statistisch signifikant (p-Wert 0,008).

Diskussion und Ausblick

Das Experiment liefert drei Kernergebnisse: Als erstes sehen wir, dass Frauen und Männer sich in einem Wettbewerbsumfeld tatsächlich anders verhalten. Zweitens reagieren Männer stärker und Frauen weniger stark auf die Einführung eines kompetitiven Umfelds, was mit der Literatur zu geschlechtsspezifischem Wettbewerbsverhalten im Einklang steht. Statt jedoch an dem Wettbewerb teilzunehmen, ehrlich zu erscheinen, schrecken Männer in unserem Experiment davor zurück, indem sie sich in Treatment SIW im Vergleich zu SI ehrlicher verhalten (anstatt sich weniger ehrlich zu verhalten). Frauen hingegen zeigen kaum eine Verhaltensänderung zwischen den Treatments SI und SIW; ihr Verhalten ändert sich aber zwischen Treatments B und SI. Als drittes treten Geschlechterunterschiede auf, weil Frauen auf die psychologischen Aspekte einer Interaktion von Angesicht zu Angesicht reagieren, während Männer auf die Einführung eines sozialen Wettbewerbs reagieren, den sie offenbar nicht verlieren wollen.

Die dargestellten Ergebnisse werfen die Frage auf, warum Männer im Vergleich zu Frauen vor dem sozialen Wettbewerb häufiger zurückschrecken. Am Ende des Experiments füllten die Teilnehmer einen Fragebogen aus, welcher neben Angaben zu Geschlecht und Alter auch eine Frage zur individuellen Aufdeckungs- bzw. Überprüfungswahrscheinlichkeit einer falschen Deklaration enthielt. Dabei sollten die Teilnehmer des Treatments mit sozialem Wettbewerb (SIW) angeben, ob sie die eigene Überprüfungswahrscheinlichkeit für kleiner, gleich oder größer als die Überprüfungsrate von 50% einschätzen.

Abb. 2: Selbsteinschätzung der Überprüfungswahrscheinlichkeit

© Tim Lohse, Salmai Qari

Abb 2. zeigt, dass rund 12% der Frauen angeben, dass sie ihre persönliche Überprüfungswahrscheinlichkeit für höher als 50% einschätzen, während dies auf rund 25,8% der Männer zutrifft. Weiterhin geben rund 40,8% der Frauen an, dass ihre subjektive Überprüfungswahrscheinlichkeit 50% beträgt, während nur 32% der Männer diese Angabe machen. Die unterschiedlichen Angaben sind ein weiterer Beleg dafür, dass Männer im Vergleich zu Frauen vor dem sozialen Wettbewerb häufiger zurückschrecken. Allerdings bleibt zunächst die Frage offen, inwiefern die Selbsteinschätzung der männlichen Teilnehmer, im Vergleich zu Frauen weniger überzeugend zu wirken und daher den sozialen Wettbewerb häufiger zu verlieren, auch gerechtfertigt ist.infoLohse und Qari (2021) haben diesen Aspekt mit einem weiteren Experiment untersucht. Die Ergebnisse zeigen, dass Männer im Vergleich zu Frauen von Dritten tatsächlich häufiger als weniger überzeugend eingeschätzt werden.

Unsere Ergebnisse stehen ebenfalls im Zusammenhang mit der Literatur zu geschlechtsspezifischen Unterschieden in Täuschungsverhalten, die entweder findet, dass Männer eher lügen als Frauen,infoDreber und Johannesson, 2008;
Erat und Gneezy, 2012
oder überhaupt keine Geschlechterunterschiede in täuschendem Verhalten erkennen kann.infoChilds, 2012;
Pate, 2018
Diese Studien sind klassische Laborexperimente und zeigen zusammengenommen, dass es keinen klaren Zusammenhang zwischen Geschlecht und Täuschungsverhalten gibt. Naturgemäß können klassische Laborexperimente die eingangs erwähnten psychologischen und verhaltensstrategischen Aspekte einer Kommunikation von Angesicht und Angesicht nicht untersuchen. Unsere Studie liefert daher einen Beitrag für diese Kommunikationssituation, die in sehr vielen privaten oder beruflichen Situationen anzutreffen ist.

Quellen

Abeler, J., Becker, A., & Falk, A. (2014). Representative Evidence on Lying Costs. Journal of Public Economics, 113, 96–104. https://doi.org/10.1016/j.jpubeco.2014.01.005

Barber, B. M., & Odean, T. (2001). Boys will be boys: Gender, overconfidence, and common stock investment. The Quarterly Journal of Economics, 116(1), 261-292. https://doi.org/10.1162/003355301556400

Basch, J. M., Melchers, K. G., Kurz, A., Krieger, M., & Miller, L. (2021). It takes more than a good camera: Which factors contribute to differences between face-to-face interviews and videoconference interviews regarding performance ratings and interviewee perceptions?. Journal of Business and Psychology, 36(5), 921-940. https://doi.org/10.1007/s10869-020-09714-3

Bertrand, M. (2011). New perspectives on gender. Handbook of labor economics, 4, 1543-1590. https://doi.org/10.1016/S0169-7218(11)02415-4

Blacksmith, N., Wilford, J. C., & Behrend, T. S. (2016). Technology in the employment interview: A meta-analysis and future research agenda. Personnel Assessment and Decisions, 2, 12–20. https://doi.org/10.25035/pad.2016.002

Charness, G., & Dufwenberg, M. (2006). Promises and Partnership. Econometrica 74(6), 1579–1601. https://doi.org/10.1111/j.1468-0262.2006.00719.x

Charness, G., & Gneezy, U. (2008). What’s in a Name? Anonymity and Social Distance in Dictator and Ultimatum Games. Journal of Economic Behavior & Organization, 68(1), 29–35. https://doi.org/10.1016/j.jebo.2008.03.001

Charness, G., Haruvy, E., & Sonsino, D. (2007). Social Distance and reciprocity: An Internet Experiment. Journal of Economic Behavior & Organization, 63(1), 88–103. https://doi.org/10.1016/j.jebo.2005.04.021

Childs, J. (2012). Gender differences in lying. Economics Letters, 114(2), 147-149. https://doi.org/10.1016/j.econlet.2011.10.006

Conrads, J., & Lotz, S. (2015). The effect of communication channels on dishonest behavior. Journal of Behavioral and Experimental Economics, 58, 88-93. https://doi.org/10.1016/j.socec.2015.06.006

Coricelli, G., Rusconi, E., & Villeval, M. C. (2014). Tax Evasion and Emotions: An Empirical Test of Re-Integrative Shaming Theory. Journal of Economic Psychology, 40, 49–61. https://doi.org/10.1016/j.joep.2012.12.002

Dreber, A., & Johannesson, M. (2008). Gender differences in deception. Economics Letters, 99(1), 197-199. https://doi.org/10.1016/j.econlet.2007.06.027

Dwenger, N., & Lohse, T. (2019). Do individuals successfully cover up their lies? Evidence from a compliance experiment. Journal of Economic Psychology, 71, 74–87. https://doi.org/10.1016/j.joep.2018.08.007

Erat, S., & Gneezy, U. (2012). White lies. Management Science, 58(4), 723-733. https://doi.org/10.1287/mnsc.1110.1449

Kajackaite, A., & Gneezy, U. (2017). Incentives and Cheating. Games and Economic Behavior, 102, 433–444. https://doi.org/10.1016/j.geb.2017.01.015

Konrad, K. A., Lohse, T., & Qari, S. (2014). Deception Choice and Self-Selection – The Importance of Being Earnest. Journal of Economic Behavior & Organization, 107, 25–39. https://doi.org/10.1016/j.jebo.2014.07.012

Konrad, K. A., Lohse, T., & Qari, S. (2017). Compliance with Endogenous Audit Probabilities. The Scandinavian Journal of Economics, 119(3), 821–850. https://doi.org/10.1111/sjoe.12182

Lohse, T., & Qari, S. (2014). Gender differences in deception behaviour–the role of the counterpart. Applied Economics Letters, 21(10), 702-705. https://doi.org/10.1080/13504851.2013.848020

Lohse, T., & Qari, S. (2016). Dubious versus trustworthy faces: what difference does it make for tax compliance?. Applied Economics Letters, 23(6), 394-401. https://doi.org/10.1080/13504851.2015.1076150

Lohse, T., & Qari, S. (2018). Video Recordings in Experiments – Are There Effects on Self-Selection or the Outcome of the Experiment?. Economics Bulletin, 38(3), 1381–1394. https://ideas.repec.org/p/diw/diwwpp/dp1751.html

Lohse, T., & Qari, S. (2021). Gender differences in face to face deceptive behavior. Journal of Economic Behavior & Organization, 187, 1-15. https://doi.org/10.1016/j.jebo.2021.03.026

Niederle, M., & Vesterlund, L. (2011): Gender and competition, in:  Annual Review of Economics, 3(1), 601 – 630. https://doi.org/10.1146/annurev-economics-111809-125122

Harvard Business Review (2016). Managing across Distance in Today’s Economic Climate: The Value of Face-to-Face Communication. Harvard Business Review, 1-15. Retrieved November 15, 2021, from https://hbr.org/sponsored/2016/04/managing-across-distance-in-todays-economic-climate-the-value-of-face-to-face-communication

Pate, J. (2018). Temptation and cheating behavior: Experimental evidence. Journal of Economic Psychology, 67, 135-148. https://doi.org/10.1016/j.joep.2018.05.006

Vanberg, C. (2008). Why Do People Keep Their Promises? An Experimental Test of Two Explanations. Econometrica, 76(6), 1467–1480. https://doi.org/10.3982/ECTA7673

Autoren

Tim Lohse | tim.lohse@hwr-berlin.de | HWR Berlin & Max-Planck-Institut & CESifo
Salmai Qari | sqari@diw.de | Gastwissenschaftler, Abteilung Staat, DIW Berlin & HWR Berlin


Frei zugängliche Version: (econstor)
http://hdl.handle.net/10419/249151

keyboard_arrow_up